7.变量还原:寄存器分配与还原
寄存器间的运算一定比栈上变量的运算快的多;因此,对于编译器来说,变量分配是尽可能用少的“寄存器”覆盖最多的变量。其核心的方案就是“图着色”算法。
变量分配技术与SSA
熟悉汇编语言的都知道,编译后的二进制的变量最终都体现在寄存器、栈、堆、data段、bss段等的操作上(X86_64体系)。
当然,在这个系类文章中,反汇编器在还原的过程中是看不到寄存器,在这个阶段它的眼里都是SSA了。
那么如何将SSA中提取出实际的可读的变量,就是变量还原的算法的工作。
变量还原算法在不同的反编译器中实现方法不一样,总得来说有这么几种关联方式:
在SSA翻译后插入phi语句的同时,将phi语句关联的变量进行关联。
如果存在栈,那么可以直接分割栈结构标记并还原变量;即,函数栈可以看成一个巨大的结构体,对于栈变量的还原就是对结构体的偏移分割。
在中间语句优化完成后,依照关联关系尝试进一步进行优化,整理出实际的变量。
编译器的寄存器分配
要知道反编译器的寄存器还原技术,需要先对编译器的寄存器分配算法有一定的了解。
寄存器分配算法的基本规则与目标:
变量的数量可以是”无限“的,但CPU 寄存器的数量是有限
尽量让变量的值或计算结果保留在寄存器中
(寄存器分配算法本身是个NP困难问题)
让我用一个教科书上的例子
https://pages.cs.wisc.edu/~horwitz/CS701-NOTES/5.REGISTER-ALLOCATION.html
int main()
{
int b;
int a = getchar();
int x = getchar();
if (x > 0) {
if (a > 0) {
x = 10;
} else {
x = 20;
}
} else {
a = 100;
b = getchar();
x = a * b;
while (x > a + b) {
x = x / 2;
}
}
printf("%d", x);
return 0;
}
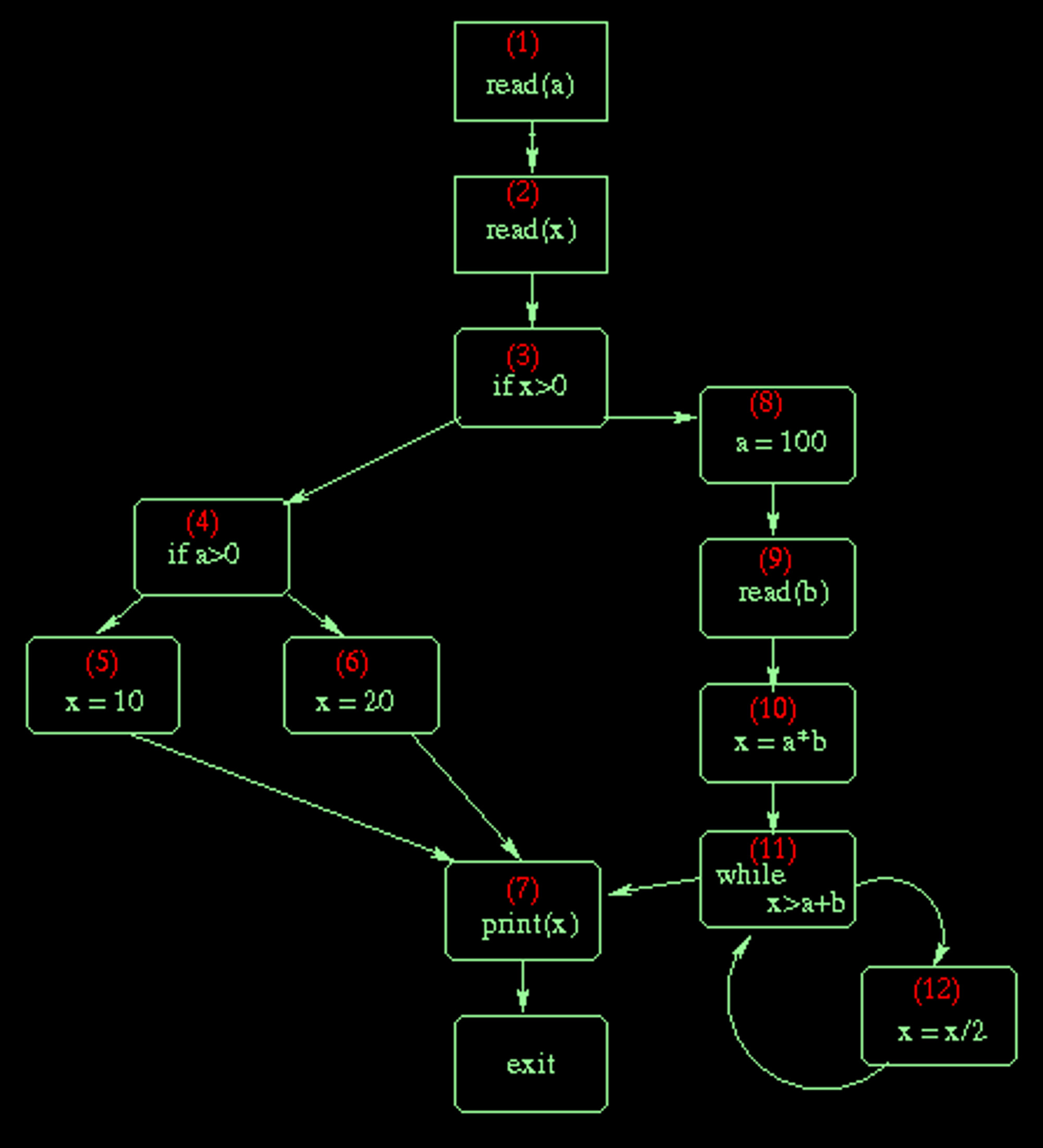
画出上面代码的CFG图

计算变量的存活范围
Def of a at node (1), {1, 2, 3, 4}
Def of x at node (2), {2, 3}
Def of x at node (5), {5, 7}
Def of x at node (6), {6, 7}
Def of a at node (8), {8, 9, 10, 11, 12}
Def of b at node (9), {9, 10, 11, 12}
Def of x at node (10), {7, 10, 11, 12}
Def of x at node (12), {7, 11, 12}
最终结果为
( <a>, {1, 2, 3, 4} )
( <x>, {2, 3} )
( <x>, {5, 6, 7, 10, 11, 12} )
( <a>, {8, 9, 10, 11, 12} )
( <b>, {9, 10, 11, 12} )
即如下图所示

使用图着色算法,进行着色后就变成了下面这个样子,更加直观了

Live Range Color (register)
======================== ================
x {5, 6, 7, 10, 11, 12} R1
b {9, 10, 11, 12} R2
a {8, 9, 10, 11, 12} -- no color --
x {2, 3} R1
a {1, 2, 3, 4} R2
最终分配好寄存器
read(R2);
read(R1);
if (R1 > 0) {
if (R2 > 0) R1 = 10;
else (R1 = 20);
}
else {
a = 100;
read(R2);
R1 = a * R2;
while (R1 > A + R2) {
R1 = R1 / 2;
}
}
print(R1
Last updated