6.控制流还原:通用方法
控制流还原是反编译器中端优化流程的最后几步了,其目标是将原有的CFG图,还原成 while/if/switch 组成的高层次结构。
控制流的结构还原是反编译中很重要的部分,还原出if分支,循环,switch语句,尤其是循环语句带有很多的高层语意信息。
为什么要进行还原?如何还原?
人类很难阅读并理解完全由jmp/goto跳转组合成的CFG结构图,因此还原出高层的控制流结构,能够极大的提升反编译结果的可读性。
介绍:传统控制流还原的实现
IDA和Ghidra的控制流还原技术均使用了“区间分析/结构分析”的经典编译器技术。这一理论来源与编译原理中的控制流分析技术。需要先介绍一个CFG流图关键的特性:可规约性(reducible)
可规约性(reducible):
可规约性(reducible),这个词用来描述不够清楚,它的本质含义是“结构良好的流图”(well-structured),但是既然业界都这样说,那么后面还是用”可规约”这样来描述。
可归于的定义本身很复杂
一种定义方法是:如果图中的循环没有多个出口/多个入口,那么这个图一般而言就是可规约的。如果一个图不可规约,那么基于结构分析的技术,还原后一定会有goto语句(无法正确还原)。
上面这个定义太难懂了。
所以,在本单元的反编译器理论中,使用另一种简略的定义;对一个流图进行预定义的各种变幻,如果流图塌缩成单个结点,则称这个流图是可归约的,否则就是不可规约的。
如果一个图可规约,那么图中的循环就能被正确的还原出控制流(控制流还原的主要复杂读就是在于循环)
至于“塌缩”的意思,往下看。
区间分析与结构分析在反编译器中的运用
其基本原理即是:通过某一些列的规则将原有的流图不断的“塌缩”,最后成为一个点。
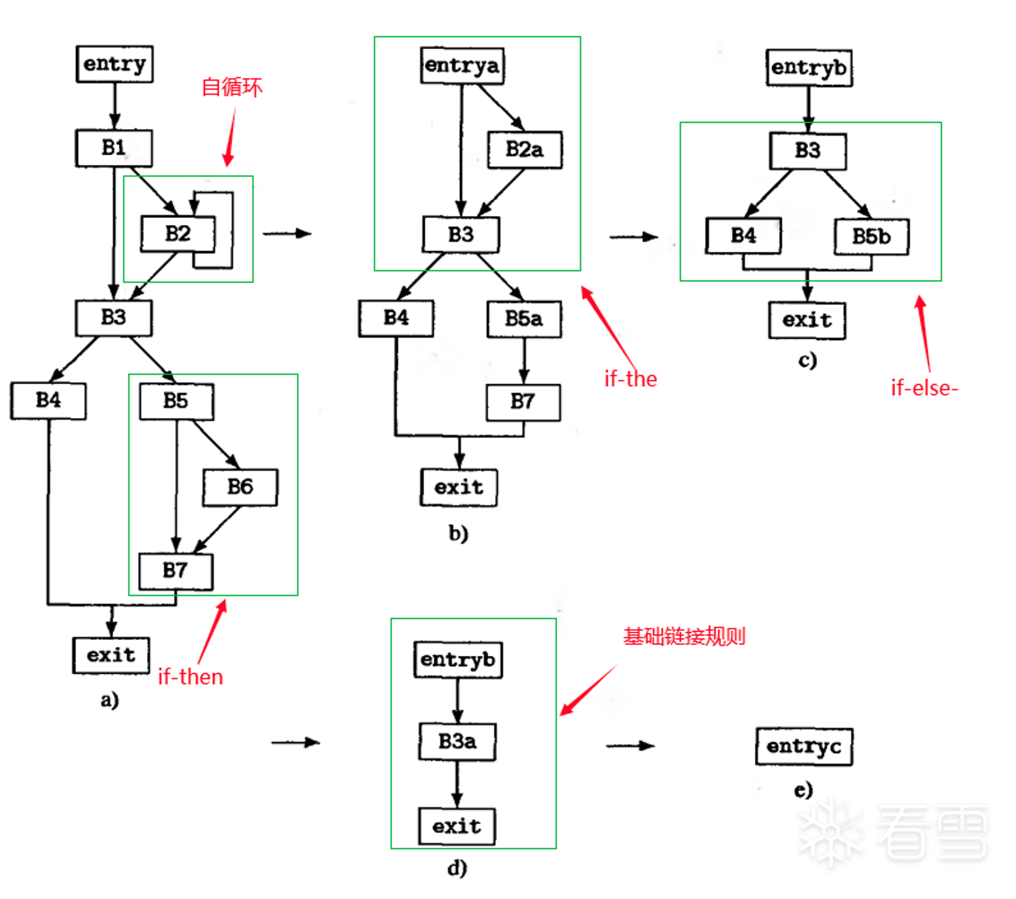
基础的规则如下。
塌缩规则
基础规则 - 连续两个基础块可以直接压缩成一个

循环规则-自循环

循环规则-while循环

循环规则-do+while循环

条件分支- if+then

条件分支- if+else+then

条件分支-switch+case

示例:
参考:《高级编译器设计与实现》第七章中的还原案例。
这里我标记了关键的变化信息。最终图塌缩到了一点。这也是IDA/Ghidra等实现的基础逻辑,不断的进行塌缩并对变换过程中影响到的基本块结构进行标记。最终还原出CFG中完整的高层控制流语义。

通用方案的难题:对于不可规约图的处理
通用的恢复方案存在一个难题:无法很好的处理正向编译产生的“不可归约”的CFG图,最终直接将边转为GOTO语句。为什么会这样呢?
对于源码来说,不可规约的情况很少很少;
例如,js这种不支持goto语句的语言,源码中基本上不会产生不可规约的情况。常见的流程控制指令 (例如IF、FOR、WHILE、BREAK、CONTINUE)都会产生可规约控制流图。
在支持goto语句,比如C语言中,源码中不可规约流图,常常出现在goto跳出多重循环等场景。
但是事情总会出岔子,编译器的总能给你找事情做。
参考我之前的文章 “为什么IDA F5后的代码会有GOTO语句?” 中的案例:
优化前的代码:
int fun(int a, int b)
{
int ret = 0;
if (getchar() > 0x10) {
ret = a+b;
} else {
ret = a-b;
if (getchar()>0x20) {
printf("hello");
printf("ret=xx");
return ret;
}
}
printf("hi");
printf("ret=xx");
return ret;
}
编译器优化中发现, printf("ret=xx"); return ret; 这两句代码完全一致,为了减少代码量就插入一个goto语句将这两个尾部进行融合。优化后插入了goto。
int fun(int a, int b)
{
int ret = 0;
if (getchar() > 0x10) {
ret = a+b;
} else {
ret = a-b;
if (getchar()>0x20) {
printf("hello");
goto LABEL
}
}
printf("hi");
LABEL:
printf("ret=xx");
return ret;
}
如下图

这样的编译器优化,也导致了IDA没有办法对这部分进行还原。如下图所示,IDA反编译的结果是一个典型的菱形结构,无法还原。

Last updated